发射波长795nm;阈值电流:1mA;输出功率:0.1-0.2mW;阈值电压:1.8V;驱动电流:3mA;激光电压:2V;电光转换效率:12%;斜率效率:0.3W/A;差分串联电阻:300-500Ω;边模抑制比:25dB;光谱线宽:100MHz
✱因产品升级或技术原因,产品配图可能有出入,具体请咨询客服!
| 货号 : | |
| 库存 : 请咨询客服 | |
| 货期 : 请咨询客服 | |
| 点右侧在线咨询 | |
PL-VCSEL-795-1-1-SA-14BF 是一款垂直发射的单模二极管激光器,采用 MOVPE(金属有机气相外延)技术生长,以 GaAsP/AlGaAs(砷化镓磷 / 铝镓砷)为材料。该芯片采用 14 引脚蝶形封装,内置 TEC(热电制冷器)和 PD(光电探测器)。通过调节激光电流和温度可实现波长调谐。
产品特点
电学和光学特性受温度影响较小
数据速率覆盖 OC-3 至 OC-48
垂直腔面发射激光器
内置热电制冷器、热敏电阻及静电防护
线宽窄
借助热电制冷器,可实现 2nm 的调谐范围
产品应用
长途接入网
局域网
千兆以太网
尺寸图

激光器规格
条件:除非另有说明,否则芯片背面温度(TO P)为 20℃,工作电流(IO P)为 2.0mA
(TO P = 芯片背面温度,由半导体制冷器(TEC)控制)
参数 | 符号 | Min. 值 | 典型值 | Max. 值 | 单位 | 备注 |
发射波长 | λR | 795 | ||||
阈值电流 | ITH | 1 | mA | |||
输出功率 | Popt | 0.1 | 0.2 | mW | ||
阈值电压 | UTH | 1.8 | V | |||
驱动电流 | IOP | 3 | mA | Popt = 0.1 mW | ||
激光电压 | UOP | 2 | V | Popt = 0.1mW | ||
电光转换效率 | ηWP | 12 | % | Popt = 0.1mW | ||
斜率效率 | ηS | 0.3 | W/A | |||
差分串联电阻 | RS | 300 | 500 | Ω | Popt = 0.3 mW | |
3dB 带宽 | V3dB | 0.10 | GHz | Popt = 0.3 mW Due to ESD protection diode | ||
相对强度噪声 | RIN | -130 | -120 | dB/Hz | Popt = 0.3 mW @ 1 GHz | |
电流调谐波长范围 | 0.6 | nm/mA | ||||
温度调谐波长范围 | 0.06 | nm/K | ||||
热阻(VCSEL 芯片) | Rthermal | 3 | 5 | K/mW | ||
边模抑制比 | 25 | dB | I = 2 mA | |||
光束发散角 | θ | 10 | 25 | ° | Popt = 0.1mW, full width 1/e2 | |
光谱线宽 | 100 | MHz | Popt = 0.1 mW | |||
热电制冷器(TEC)特性 | 单位 | Min. 值 | 典型值 | Max. 值 | 备注 |
热电制冷器电流 | mA | -150(Heating) | +300 (Cooling) | Proper Heart Sink Required | |
NTC 热敏电阻阻值 | KΩ | 9.5 | 10.0 | 10.5 | T=25°C @10 KΩ |
NTC 热敏电阻阻值(公式) | KΩ | 10/exp{3892-(1/289K-I/TOP)} | |||
光谱

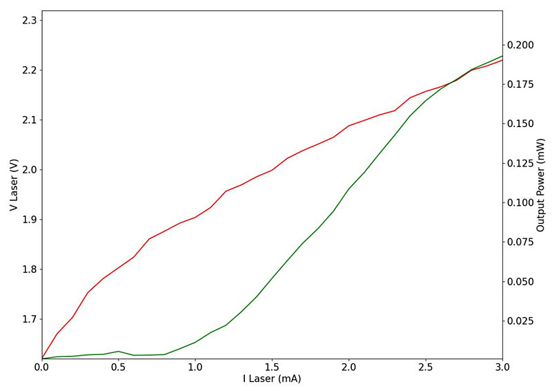
光功率 - 电流曲线(温度为 25°C 时)
调谐特性
光束质量

2D

3D
基于热电制冷器(TEC)电流的温度 / 波长调谐

引脚定义
1 | TEC (+) | 8 | N/C |
2 | 热敏电阻 | 9 | N/C |
3 | 光电探测器(PD)监控阳极 (-) | 10 | N/C |
4 | 光电探测器(PD)监控阴极 (+) | 11 | 激光阳极 (+) |
5 | 热敏电阻 | 12 | 激光阴极 (–) |
6 | N/C | 13 | N/C |
7 | N/C | 14 | TEC (–) |
jue对Max. 额定值
项 | 单位 | Min. 值 | 典型值 | Max. 值 |
存储温度 | ℃ | -40 | 25 | 125 |
芯片温度 | ℃ | +10 | 25 | 40 |
工作电流 | mA | 0 | 2 | 2.5 |
正向电压 | V | 0.8 | 1.2 | 1.8 |
半导体制冷器(TEC)电流 | mA | -150 | - | +300 |
焊接温度 * | ℃ | 100 | 130 | 270 |
功耗 | mW | - | - | 5 |
(* 半导体制冷器(TEC)的温度必须低于 150℃)
订购信息
PL-VCSEL- □□□□-☆-▽-XXXX
□□□□:Wavelength
0760: 760nm
0795: 795nm
*****
1653.7: 1653.7nm
☆ :TEC
0:Without TEC
1:With TEC
▽:Wavelength Tolerance
1:±0.5nm
2:±1.5nm
XXXX: Fiber and Connector Type
FS=Free Space
BFSA=Butterfly Package with HI780+ FC/APC
CPSA=Coaxial Package with HI780+ FC/APC
BFSP=Butterfly Package with HI780+ FC/PC
CPSP=Coaxial Package with HI780+ FC/PC
BFPP=PM Fiber+ FC/PC
BFPA=PM Fiber+ FC/APC
| 名称 | 型号货号 | 描述 | 价格 |
|---|
