输出功率:50-70mW;中心波长:1602nm;光谱线宽(半高宽):200-300KHz;边模抑制比:40dB;偏振消光比:20dB;光隔离度:40dB;热电制冷器设定温度:15-40ºC;阈值电流:15-30mA;激光二极管工作电流:400mA
✱因产品升级或技术原因,产品配图可能有出入,具体请咨询客服!
| 货号 : | |
| 库存 : 请咨询客服 | |
| 货期 : 请咨询客服 | |
| 点右侧在线咨询 | |
304永利集团的分布反馈(DFB)激光器具有超低相对强度噪声(RIN)、超窄线宽和高输出光功率等特点,广泛应用于车载激光雷达、光纤传感检测系统及高精度测量领域。我们可根据客户需求提供定制化服务及相应的技术支持。
产品特点
线宽:70 千赫兹 - 100 千赫兹
光功率:180 毫瓦
相对强度噪声(RIN):-163 分贝每赫兹(@100 千赫兹)
产品应用
可调谐二极管激光吸收光谱法
激光雷达
远距离光纤通信
尺寸图
激光器规格
指标 | 符号 | Min. 值 | 典型值 | Max. 值 | 单位 | 条件说明 |
输出功率 | Po | 50 | 70 | mW | 连续波(CW) | |
中心波长 | λc | 1601.5 | 1602 | 1602.5 | nm | 温度 T=25℃ |
光谱线宽(半高宽) | ΔνL | 200 | 300 | KHz | 洛伦兹线宽 | |
边模抑制比 | SMSR | 40 | dB | 连续波(CW),在输出功率 Po 条件下 | ||
偏振消光比 | PER | 20 | dB | 适用于保偏器件,沿慢轴方向 | ||
相对强度噪声 | RIN | -163 | -155 | dB/Hz | ||
光隔离度 | ISO | 40 | dB | |||
热电制冷器设定温度 | TTEC | 15 | 40 | ºC | ||
阈值电流 | Ith | 15 | 30 | mA | 在热电制冷器设定温度 TTEC 条件下 | |
激光二极管工作电流 | Ib | 400 | mA | 连续波(CW),在输出功率 Po 条件下 | ||
激光二极管工作电压 | Vf | 1.5 | 1.8 | V | 连续波(CW),在输出功率 Po 条件下 | |
光电探测器偏置电压 | VR | 4.75 | 5 | 5.25 | V | 阴极到阳极 |
光电探测器电流 | Imc | 2 | mA | 在输出功率 Po 条件下 | ||
光电探测器暗电流 | Imd | 1 | nA | 偏置电压 VR=5V 条件下 | ||
工作温度 | To | -40 | 25 | 80 | ⁰C | |
存储温度 | Ts | -40 | 80 | ⁰C |
λ₁:C 波段 ITU 标准可选,型号为 ITU-CXX(其中 XX=24、28、32、36、44)
光谱
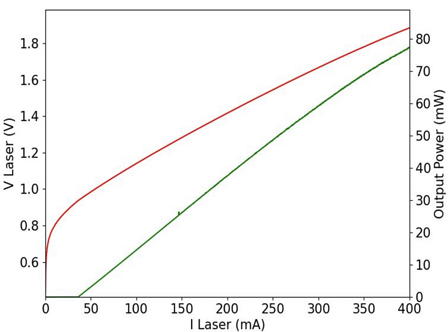
L-I曲线

调谐特性

线宽测试结果

引脚定义:
Type-A

PIN# | 定义 | PIN# | 定义 |
1 | 热敏电阻 | 8 | 外壳接地 |
2 | 热敏电阻 | 9 | 外壳接地 |
3 | 激光阴极(-) | 10 | N/C |
4 | 探测器(+) | 11 | 激光阳极(+) |
5 | 探测器(-) | 12 | 激光阴极(-) |
6 | TEC (+) | 13 | 激光阳极(+) |
7 | TEC (-) | 14 | N/C |
订购信息
PL-DFB-□□□□-△-☆-A8▽-XX-NL
□□□□: Wavelength
1550: 1550nm *****
1602: 1602nm
△ :Narrow linewidth
50: 50KHz
100: 100KHz
200: 200KHz
☆ : Output Power
50: 50mW
100: 100mW
180: 100mW
▽ : Wavelength Tolerance
1: ±1nm
2: ±2nm
XX: Fiber and Connector Type
SA=SMF-28E+ FC/APC
SP=SMF-28E+ FC/PC
PP=PM Fiber+ FC/PC
PA=PM Fiber+ FC/APC
NL: Narrow Linewidth@200KHZ
