2021-12-29 16:02:30

报道了一种可实现低阈值自启动的全保偏九字腔光纤激光器。谐振腔结构中使用相移器降低锁模阈值,当泵浦功率达到120 mW时,便可实现自启动的传统孤子锁模,中心波长为1530 nm,脉冲宽度为614.6 fs。随后泵浦功率逐渐增大到470 mW,实现了从孤子脉冲到类噪声脉冲的转换,在该锁模状态下的激光器输出功率为63.2 mW,对应的类噪声脉冲能量为5.69 nJ。所搭建的激光器具有低锁模阈值、自启动的优势,并且仅通过调节泵浦功率就能够实现超快脉冲和高能量脉冲间的转换,具有广泛的应用价值。
在过去的几十年中,被动锁模超快光纤激光器由于结构简单、体积小、脉冲极窄、易调谐等优点被广泛应用在光纤传感、光学频率测量、材料加工、长距离测距和自由空间光通信等领域[
全保偏光纤激光器可使用可饱和吸收体进行锁模,例如碳纳米管[
本文提出了一种基于NALM结构的全保偏九字腔光纤激光器。由于相移器的使用,降低了谐振腔的锁模阈值,在泵浦功率达到120 mW时便能够实现自启动的孤子锁模,所对应的脉冲宽度为614.6 fs,重复频率为11.1 MHz。之后逐渐增大泵浦功率到470 mW,实现了中心波长位于1530.2 nm的类噪声脉冲输出,调节泵浦功率后最大输出功率为73.9 mW,对应的单脉冲能量为6.66 nJ。最后将泵浦功率固定为600 mW,测量了激光器1 h的稳定性,证明该结构具有高度稳定性。整个保偏结构具有低阈值、可自启动、锁模模式可切换、输出的锁模脉冲能量高等优点,具有广泛的应用价值。
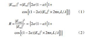
实验中所使用的九字腔的工作原理如图1所示。该结构基于2×2耦合器,分光比为α:(1−α)。假设入射光从端口1进入结构,经过耦合器会分成两束相反方向的光,则逆时针方向对应光的透射方向,顺时针方向对应光的反射方向。在我们的实验结构中,透射方向对应着输出,反射方向的光在谐振腔内经过反射镜反射会再次以入射光进入双向环路中。九字腔结构的反射率与环中两个相反方向的光的非线性相移差之间的关系可以表示为[15-16]

式中:Ein 和 Eout1 分别代表输入光和输出反射光的 强度; 和 表示非线性相移 差和线性相移;α 为耦合器分束比;L 是环路中光纤 的长度;n2 是非线性克尔系数;λ 是入射光的波长; R 是反射率。加入移相器实质是在环路中加入一 个线性相移 ( ),然后该结构中的反 射率与非线性相移差之间的关系变为 R = 2α(1−α) { 1+cos[ ∆φ0 +(1−2α)×∆φNL]}(3) ∆φNL ∆φNL ∆φNL 九字腔结构相当于人工可饱和吸收体,当脉冲 的反射率达到最大值时,脉冲中心高能量部分被 反射,而脉冲两翼部分被透射从而实现对脉冲的 窄化作用,完成锁模。保偏九字腔激光器中反射 率与非线性相移差 之间的关系可用(3)式进行 数值模拟 ,其 中 α 为 0.5, Δφ0 为 −1/2 π。 如 图 2 所示,实线和虚线分别对应未插入相移器和插入 相移器后的关系曲线。当非线性相移差( )为 零时 ,它对应于连续光的工作状态 ,而较高的 可以对应于脉冲光的工作状态。在未使用相 移器时,为了达到反射率最大值,谐振腔需积累大量的非线性相移差,一般会通过增加腔长和增大 泵浦功率来实现,使得激光器具有很高的锁模阈 值。在实验中,结构里插入了−1/2 π 的线性相移, 如图 2 所示,相当于使整个反射率曲线向右平移。

因此,腔内仅需积累所插入的线性相移量的非线 性相移差就能达到反射率的最大值,从而实现锁 模阈值的降低。 2 实验结构与工作原理 低阈值、可实现锁模状态转换的全保偏九字 腔光纤激光器的实验结构如图 3 所示。实验结构 由一个环形腔和一个线性腔两部分组成。采用 980 nm 半导体激光器通过一个 980 nm/1550 nm 波 分复用器(wavelength division multiplexer, WDM)耦 合进 0.7 m 长的保偏掺铒增益光纤( polarizationmaintaining gain erbium-doped fiber, Liekki, Er80- 4/125-HD-PM, PM-EDF),增益光纤的群速度色散 为−29.3 ps/nm/km。环路中包含一段 15 m 的保偏 单模光纤和具有−1/2π 相位延迟的保偏反射型相移 器。相移器的使用可减小锁模所需要的非线性相 移差,从而缩短腔体长度。线形腔的尾端接入一 个光纤型反射镜,实现对环路反射出的光脉冲的 再次反射,作为输入光进入环路。环路与线性腔 通过 2×2 的 3 dB 耦合器相连构成九字腔从而实现 锁模,其中一个端口作为输出端。

输出的锁模脉冲光谱通过分辨率为 0.02 nm 的光谱分析仪( OSA, Yokogawa AQ6375)进行观 察。时域上的脉冲信号通过 2.5 GHz 示波器(OSC, Agilent DSO9254A)与 1.5 μm 的光电探测器组合来 观测。频域上的脉冲信号通过频谱分析仪(Agilent N1996A, FSA)观测 ,其频率探测范围为 100 kHz 至 3 GHz。可通过自相关仪 (SHG FS Photonics Technology Co.,Ltd.,FR-103XL)测量脉冲的自相 关曲线。 3 实验结果与讨论 实验中,泵浦功率增加至 120 mW 时,达到锁 模阈值实现了自启动锁模。激光器输出的锁模脉 冲的光谱如图 4(a)所示,光谱具有围绕中心波长 对称分布的 Kelly 边带,表明该激光器工作在传统 孤子锁模区域,其中心波长为 1530 nm,3 dB 带宽 为 5.2 nm。图 4(b)为脉冲序列图,脉冲的周期为 90.1 ns,与所用结构的腔长 18 m 相对应。图 4(c) 显示了孤子脉冲的自相关曲线 ,其半高全宽为 614.6 fs,假设由双曲正割形状拟合,通过计算可得 输出脉冲的时间带宽积为 0.41,接近于变换极限 0.315。图 4(d)为其频谱图,重复频率为 11.1 MHz,


经计算符合腔长 18 m 和脉冲间隔 90.1 ns,表明锁 模处于基本锁模状态,信噪比为 57 dB。从图 4(d) 的插图可以看出,频率稳定并且没有调制,输出的 锁模脉冲的平均功率为 1.2 mW。 在实现孤子锁模后,逐渐增加泵浦功率,腔 体中的脉冲变得越来越不稳定。直到泵浦功率 增 加 至 470 mW 时获得了类噪声锁模脉冲 ,如 图 5 所示。随着泵浦功率的增加,腔内的非线性 也会迅速增大,非线性相移的过度积累会使每个



短脉冲分裂成几个脉冲;同时,许多短脉冲又聚 集在一个长包络中[17]。研究显示,类噪声脉冲由 许多具有高峰值功率的超短脉冲组成,所以随着 泵浦功率的增加,谐振腔内的传统孤子脉冲转换 为类噪声脉冲。其光谱如图 5(a)所示,中心波长为 1530.2 nm, 3 dB 谱宽增加到 17.1 nm。图 5( b)为 脉冲序列图,类噪声包络的持续时间为 471 ps,脉 冲间隔为 90.1 ns。验证矩形脉冲的类型可以测量 其自相关迹线,如图 5(c)所示,在宽基底上有一个相干峰,表明激光器工作在类噪声锁模状态, 通过高斯拟合,相干峰的半峰全宽约为 307.4 fs。 图 5(d)为类噪声频谱图,其具有 11.1 MHz 的重复 频率,信噪比为 60.7 dB。图 5(d)的插图为大范围 的射频(RF)频谱,在 RF 频谱图中未发现调制现 象,这表明激光器工作在稳定状态,在此状态下 的输出功率为 63.2 mW,脉冲能量为 5.69 nJ。当 泵浦功率从 420 mW 增加到 600 mW 时,输出功率 可由 63.2 mW增加到 73.9 mW,所对应的脉冲能量 由 5.69 nJ 增加到 6.66 nJ。 最后将泵浦功率固定为 600 mW,并记录 1 h 内激光输出功率和重复频率的稳定性,如图 6 和 图 7 所示。由于采用全保偏结构,输出光功率的峰 峰值(PPV)波动小于 1.9%,重复频率的峰峰值波动 小于 1.6%,证明了激光谐振腔的高度稳定性。

4 结论 提出了一种具有低阈值、自启动的全保偏光纤激光器。由于结构中相移器的使用降低了谐振 腔的锁模阈值,实现了从孤子锁模到类噪声脉冲 的转换。泵浦功率达到锁模阈值 120 mW 时,获得 了中心波长为 1530 nm、3 dB 带宽为 5.2 nm 的孤 子锁模脉冲。在泵浦功率增加到 470 mW 后,可获 得 位 于 1530.2 nm 的类噪声脉冲 ,脉冲能量为 5.69 nJ。最后记录 1 h 内激光输出功率和重复频率 的稳定性,输出光功率的峰峰值波动小于 1.9%,重 复频率的峰峰值波动小于 1.6%,证明了整个结构 具有高度稳定性。该保偏光纤激光器具有阈值 低、可自启动、锁模模式可切换、输出的锁模脉冲 能量高等优点,在超连续谱的产生、材料加工和光 纤传感等领域具有广泛的应用价值。 参考文献: JONES R J, DIELS J C. Stabilization of femtosecond lasers for optical frequency metrology and direct optical to radio frequency synthesis[J]. Physical Review Letters, 2001,86(15):3288-3291. [1] KALAYCIOGLU H, ELAHI P, AKCAALAN O, et al. High-repetition-rate ultrafast fiber lasers for material processing[J]. IEEE Journal of Selected Topics in Quantum Electronics,2018,24(3):1-12. [2] ZHOU G, XIN M, KAERTNER F X, et al. Timing jitter of Raman solitons[J]. Optics Letters, 2015, 40(21): 5105-5108. [3] HUANG H, YANG L M, LIU J. Micro-hole drilling and cutting using femtosecond fiber laser[J]. Optical Engineering,2014,53:051513. [4] JIA Qingsong, WANG Tianshu, WANG Zhen, et al. Temperature sensing characteristics based on multi - wavelength Brillouin fiber laser[J]. Journal of Applied optics,2018,39(4):585-589. 贾青松, 王天枢, 王振, 等. 基于多波长布里渊光纤激光 器的温度传感特性[J]. 应用光学,2018,39(4):585-589. [5] NiSHIZAWA N, SENO Y, SUMIMURA K, et al. All-polarization-maintaining Er-doped ultrashort-pulse fiber laser using carbon nanotube saturable absorber[J]. Optics Express,2008,16(13):9429-9435. [6] KUSE N, LEE C C, JIANG J, et al. Ultra-low noise all polarization-maintaining Er fiber-based optical frequency combs facilitated with a graphene modulator[J]. Optics Express,2015,23(19):24342-24350.LYU Z, Yang Z, LI F, et al. SESAM mode-locked all-polarization-maintaining fiber linear cavity ytterbium laser source with spectral filter as pulse shaper[J]. Laser Physics,2018,28(12):125103. [8] KIEU K, WISE F W. All-fiber normal-dispersion femtosecond laser[J]. Optics Express,2008,16:11453-11458. [9] KUSE N, JIANG J, LEE C C, et al. All polarization-maintaining Er fiber-based optical frequency combs with nonlinear amplifying loop mirror[J]. Optics Express, 2016, 24(3):3095-3102. [10] SZCZEPANEK J, KARDAŚ T M, MICHALSKA M, et al. Simple all-PM-fiber laser mode-locked with a nonlinear loop mirror[J]. Optics Letters, 2015, 40(15): 3500- 3503. [11] ZHOU F, YANG X Z, PAN W W, et al. 1015 nm - 1080 nm tunable polarization- maintaining dissipative solition mode - locked fiber laser[J]. Chinese Journal of Lasers, 2017,44(9):40-47. 邹峰, 杨学宗, 潘伟巍, 等. 1015 nm~1080 nm可调谐保 偏光纤耗散孤子锁模激光器[J]. 中国激光 , 2017,44(9):40-47. ZHAO X, LIU Y, ZHOU L, et al. All normal dispersion polarization maintaining Yb doped fiber laser based on nonlinear amplifing loop mirror[J]. Chinese Journal of Lasers,2019,46(5):279-283. 赵翔, 刘洋, 周廉, 等. 全正色散非线性放大环形镜保偏 掺镱光纤激光器[J]. 中国激光,2019,46(5):279-283. [13] MA H Q, LIU C, ZHAO W, et al. Figure of eight cavity Yb3+ doped fiber mode locked lasers[J]. Chinese Journal of Lasers,2005,32(9):1173-1177. 马海全, 刘畅, 赵卫, 等. 8字形腔锁模掺Yb~3+光纤激光 器[J]. 中国激光,2005,32(9):1173-1177. [14] DORAN N J, WOOD D P. Nonlinear-optical loop mirror[J]. Optics Letters,1988,13(1):56-58. [15] FERMANN M E, HABERL F, HOFER M, et al. Nonlinear amplifying loop mirror[J]. Optics Letters, 1990, 15(13):752-754. [16] GRUDININ A B, RICHARDSON D J, PAYNE D N, et al. Energy quantisation in figure eight fibre laser[J]. Electronics Letters,1992,28(1):67-68.
