2022-11-07 09:26:47

光腔衰荡光谱技术原理
点击查看 利用腔衰荡系统探测CH4在1653.7nm处的吸收峰 - 304永利集团AOL实验室⑦
光腔衰荡光谱技术(CRDS)是上个世纪年代发明的一种气体吸收光谱检测技术,通过一对反射率超过99.99%的高反镜组成一个光谐振腔,大大地提升了光在腔内的反射次数,也就提高了待测气体的吸收光程,根据光在腔内的衰荡时间来检测腔内的待测气体浓度,很容易就能达到1ppm以内的精确度。并且,激光在腔内的衰荡时间仅与腔镜反射率和气体吸收系数相关,与激光的功率稳定性无关,这也是CRDS相较其他气体检测技术的优点。
CRDS的基本原理如下图所示,激光从准直头发出,通过第一个高反镜后,大部分光被反射,透过的光在谐振腔中来回振荡,振荡次数可达上万次,很大程度上增加了吸收光程。根据Lambert-Beer定律,当一束入射光进入谐振腔开始衰荡后,PD探测器探测到光信号呈指数衰减,一直到光功率信号衰减至初始信号的1/e,这段时间就是腔衰荡时间。

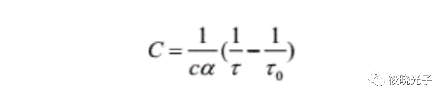
腔衰荡时间用公式表示为:

其中L表示腔长,α表示气体吸收系数,C表示气体浓度,c表示光速,R表示腔镜反射率。当R十分接近100%时,InR可以化简为1-R,因此,在99.99%反射率的谐振腔中,腔衰荡时间可以化简为:



我们采用1653.7nm的DBF激光二极管作为光源,进行了CH4气体探测的腔衰荡光谱实验,通过可调的7.5mm准直透镜调节入射谐振腔的光斑。腔长为0.5m,一对高反腔镜的反射率均大于99.99%,曲率半径为1m,计算可得,腔内谐振的光束腰半径应为0.477 mm,在腔的正中心,并以此反推出入射光的束腰点和束腰半径。然后通过光斑分析仪观察入射光,调节准直透镜的距离和准直头与入射腔镜的距离,使得符合计算结果。

谐振腔通光后,以5Hz的速率扫描二极管激光器的电流,使得光频能扫过至少一个自由光谱程,此时探测器已经可以探测到空腔衰荡信号,微调腔镜角度,将衰荡信号调至最大,如下图所示:

| 产品图片 | 产品名称 | 产品特点 | 产品链接 |
| 1653.7nm DFB激光器 | · 高输出功率 · 窄线宽 · 内置TEC和热敏电阻 · 2 nm波长可调 | http://www.ld-pd.com/?a=cp3&id=210 |
| 调焦光纤准直器 (焦距4.5/7.5/11mm) | · 三种增透膜非球面透镜选项: 350- 700nm, 650-1050nm, 1050-1620nm · 与兼容接头一 起使用可以达到衍射极限性能 · 调节时对准误差<15mrad | http://www.inwndjy.cn/?a=cpinfo&id=2328 |
| 超光滑超高反射率(>99.99%) 反射镜 | · 非常高的反射率 · 中心波长可以定制 · 所有用于 CRD 实验的反射镜都带有背面增透膜 · 平面和球形弯曲熔融石英基材 · 优质抛光,RMS 粗糙度:≤ 1.5 Å | http://www.inwndjy.cn/?a=cpinfo&id=1905 |



