2024-01-31 17:12:10

激光是一种频率更高的电磁波,它具有很好相干性,所以可以像无线电(收音机、电视等)一样作为传递信息的载波。
由激光“携带”的信息(包括语言、文字、图像、符号等)通过一定的传输通道(大气、光纤等)送到接收器,再由光接收器鉴别并还原成原来的信息。
这种将信息加载于激光的过程称之为调制,而实现了这个调制过程的器件就叫调制器。被调制的激光称为载波,调制激光的低频信息称为调制波。

按调制发生的位置,可以将激光调制分为内调制和外调制。这个内和外指的是激光谐振腔的内外。
调制如果是在腔内发生的,等于是在激光激发的过程中同时调制了,那就是内调制。
调制如果是在腔外发生的,也就是在激光激发辐射后再用调制器进行调制,那就是外调制了。
问:内调制具体有什么方法可以实现呢?
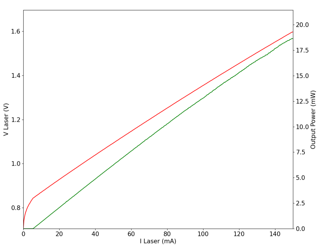
举个我们最熟悉的例子,半导体激光器电流调制。以下是我们公司的一款DFB激光二极管的功率-电流曲线图(绿色曲线)。

我们可以看到,注入的电流越大,激光二极管输出的光功率就越高。这是一种电泵浦激光器,电流就代表泵浦的能量。
如果将调制波以电流信号的形式注入DFB二极管,那么输出的光功率值就附带了调制的信息,这就是内调制。
这种调制方法结构简单,效率高,不过调制带宽收到激光谐振腔的限制。
外调制就很好理解了,激光形成之后,在激光器外的光路上放置调制器,用调制信号改变调制器的物理特性,当激光通过调制器时,就会使光波的某参量受到调制。
另外,按照激光的调制目标,可以分为幅度调制、频率调制、相位调制。
幅度调制就是载波的振幅随着调制信号的规律而变化,其幅度调制的表达式为:

实现幅度调制的方法,有上文提到过的激光二极管内调制法,配合我们的激光器驱动就可以实现。也可以使用EOM强度调制器,AOM(模拟款)。
频率调制和相位调制分别以调制信号去改变激光振荡的频率和相位,调制完波形如下图所示:

调制实现的方法有很多种,声光晶体、电光晶体、PZT拉伸、电流调制等等,基本可以实现对光波各个参数的控制,加载调制信息。
下方我们附带了对应的调制器链接:
| 产品图片 | 产品名称 | 产品链接 |
| 低噪声激光器驱动 (LD电流600mA LD电压2.8V) | http://www.inwndjy.cn/?a=cp3&id=1380 |
| 1550nm 保偏声光调制器 150MHz | http://www.inwndjy.cn/?a=cpinfo&id=990 |
| 1550nm铌酸锂2.5Gb/s 强度调制器 | http://www.inwndjy.cn/?a=cpinfo&id=524 |
| 1550nm 铌酸锂高频相位调制器(20GHZ电光带宽) | http://www.inwndjy.cn/?a=cpinfo&id=1867 |
| 单模光纤拉伸器 | http://www.inwndjy.cn/?a=cpinfo&id=357 |
![]() | 微型变频光学斩波器/双频斩波器 5-20kHz | http://www.inwndjy.cn/?a=cpinfo&id=903 |






