close[X]
您的购物车
型号 数量 货期
查看购物车 结算

2004nm 分布反馈激光二极管,用于CO2气体监测


中心波长:2004nm;边模抑制比:30-40dB;阈值电流:20-30mA;工作电流:180-200mA;芯片输出功率:2-8mW;量子效率:0.08-0.12mW/mA;电流调谐系数:0.015nm/mA;接头:FC/APC

✱因产品升级或技术原因,产品配图可能有出入,具体请咨询客服!

货号 :     
库存 : 请咨询客服
货期 : 请咨询客服
点右侧在线咨询
 
 华北西南东北 Sherry
16628709332 同微信 可扫码
 info@microphotons.com
 西北华中华东华南 Daisy
18602170419 同微信 可扫码
 info@microphotons.com

产品总览

PL-DFB-2004-A-A81型2004nm DFB 激光二极管模块,是一款经济高效、高相干性的激光光源。该DFB激光二极管芯片采用行业标准的14引脚蝶形封装,具有气密性,内置半导体制冷器(TEC)和光电二极管(PD),具备良好的边模抑制比(SMSR)和高光学输出功率。

 

产品特点

窄线宽:<2MHz

优秀的波长控制与稳定性

行业标准 14 引脚蝶形封装

无跳模调谐

很高的可靠性

可提供客户定制波长

 

产品应用

可调谐二极管激光吸收光谱法

二氧化碳(CO2)监测


尺寸图

1.png



激光器规格

电气/光学特性(Tsub=25°C,CW 偏置,除非另有说明)

参数

符号

Min. 值

典型值

Max. 值

单位

中心波长

λ

2003

2004

2005

nm

边模抑制比

SMSR

30

40


dB

阈值电流

Ith


20

30

mA

工作电流

Iop


180

200

mA

芯片输出功率

Pf

2

3

8

mW

量子效率

η

0.08

0.12


mW/mA

电流调谐系数

∆λ/∆I


0.015


nm/mA

温度调谐系数

∆λ/∆T


0.12


nm/K

正向电压

Vf


1.3

2

V

热敏电阻阻值

RT

9.5

10

10.5

热敏电阻温度系数



-4.4


%/°C

接头

FC/APC

 

光谱图

2.jpg 

 

调谐特性

3.png 

DFB线宽测试结果

 4.png

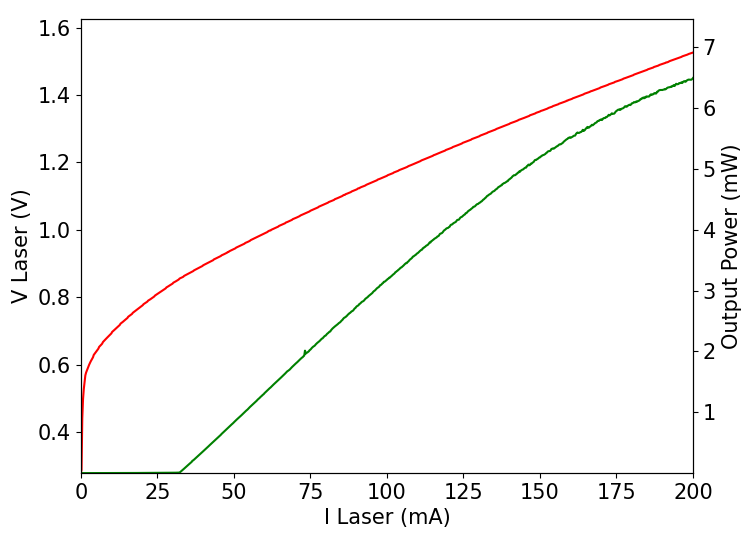
L-I曲线

 5.png

中心波长

 6.jpg

 

波长稳定性

 7.jpg

 

功率稳定性

 8.png

 

模式跳变调谐范围 

 9.jpg

光束质量

10.jpg 

2D

 11.png

3D

 

 

相机分析

 12.png

 

 

引脚定义

PIN#

功能

PIN#

功能

1

热敏电阻

8

外壳接地

2

热敏电阻

9

外壳接地

3

激光阳极(-)

10

N/C

4

N/C

11

激光阴极 (+)

5

N/C

12

激光阳极 (-)

6

TEC (+)

13

激光阴极 (+)

7

TEC (-)

14

N/C

 

jue对Max. 额定参数

符号

Min. 值

典型值

Max. 值

壳体温度

-5

25

70

芯片温度

+10

25

40

工作电流

mA

0

180

200

正向电压

V

0.8

1.2

1.8

TEC电流

A

-

-

1.2

反向电压(LD)

V

-

-

2.0

反向电压(PD)

V

-

-

20

 

 

CO2

13.png 

 

订购信息

PL-DFB-□□□□-☆-A8▽-XX

□□□□: Wavelength

1512:1512nm

*****

1653.7: 1653.7nm

2004: 2004nm

☆: Output Power

A: 2mW

B: 5mW

▽: Wavelength Tolerance

1: ±1nm

2: ±2nm

XX: Fiber and Connector Type

SA=SMF-28E+ FC/APC

SP=SMF-28E+ FC/PC   

PP=PM Fiber+ FC/PC  

PA=PM Fiber+ FC/APC


其它型号
  名称 型号货号         价格
用于 C2H6 传感的 1680nm DFB 激光器 货号无
联系客服或  
 提交询价单  
用于 C2H6 传感的 1683nm DFB 激光器 货号无
联系客服或  
 提交询价单  
1692nm 可调谐DFB激光二极管 货号无
联系客服或  
 提交询价单  
1814nm 分布反馈激光二极管,用于NO气体传感 货号无
联系客服或  
 提交询价单  
1962nm DFB 可调谐激光二极管 用于溴化氢(HBr)传感 货号无
联系客服或  
 提交询价单  
1742nm DFB 激光二极管用于 HCl Gas监测 货号无
联系客服或  
 提交询价单  
1850nm分布反馈激光二极管,用作种子激光器 货号无
联系客服或  
 提交询价单  
1910nm DFB 可调谐激光二极管 货号无
联系客服或  
 提交询价单  
2327nm DFB 激光二极管 适用于一氧化碳检测 货号无
联系客服或  
 提交询价单  

相关产品




使用本网站,即表示您同意我们使用cookie.它可以帮助更好地提供会员服务以及短时间内记录您的浏览记录
已知晓 了解详情
提示