中心波长:1850nm;边模抑制比:30-40dB;阈值电流:20-30mA工作电流:80-120mA;芯片输出功率:2-5mW;量子效率:0.08-0.12mW/mA;接头:FC/APC
✱因产品升级或技术原因,产品配图可能有出入,具体请咨询客服!
| 货号 : | |
| 库存 : 请咨询客服 | |
| 货期 : 请咨询客服 | |
| 点右侧在线咨询 | |
PL-DFB-1850-A-A81 1850nm 分布反馈(DFB)激光二极管模块,是一款兼具成本效益与高相干性的激光光源。该 DFB 激光二极管芯片采用行业标准的 14 引脚蝶形封装,封装内部集成了半导体制冷器(TEC)和光电探测器(PD),并具备气密性密封特性。
产品特点
窄线宽:< 2MHz
优秀的波长控制与稳定性
行业标准14引脚蝶形封装
无跳模调谐
很高的可靠性
可提供客户定制波长
产品应用
可调谐激光吸收光谱法
甲烷(CH4)监测
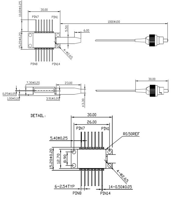
尺寸图

激光器规格
电气/光学特性(Tsub=25°C,CW 偏置,除非另有说明)
参数 | 符号 | 测试条件 | Min. 值 | 典型值 | Max. 值 |
中心波长 | λ | 1849 | 1850 | 1851 | nm |
边模抑制比 | SMSR | 30 | 40 | dB | |
阈值电流 | Ith | 20 | 30 | mA | |
工作电流 | Iop | 80 | 120 | mA | |
芯片输出功率 | Pf | 2 | 3 | 5 | mW |
量子效率 | η | 0.08 | 0.12 | mW/mA | |
电流调谐系数 | ∆λ/∆I | 0.015 | nm/mA | ||
温度调谐系数 | ∆λ/∆T | 0.12 | nm/K | ||
正向电压 | Vf | 1.3 | 2 | V | |
热敏电阻阻值 | RT | 9.5 | 10 | 10.5 | KΩ |
热敏电阻温度系数 | -4.4 | %/°C | |||
接头 | FC/APC | ||||
光谱数据(测试条件@25deg, 50mA)
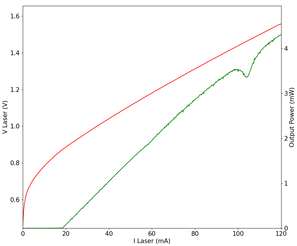
L-I 曲线图

调谐特性

光束质量

2D

3D
引脚定义
PIN# | 功能 | PIN# | 功能 |
1 | TEC+ | 8 | NC |
2 | 热敏电阻 | 9 | NC |
3 | NC | 10 | LD+ |
4 | NC | 11 | LD- |
5 | 热敏电阻 | 12 | NC |
6 | NC | 13 | 外壳接地 |
7 | NC | 14 | TEC- |
jue对Max. 额定参数
项 | 单位 | Min. 值 | 典型值 | Max. 值 |
壳体温度 | ℃ | -5 | 25 | 70 |
芯片温度 | ℃ | +10 | 25 | 40 |
工作电流 | mA | 0 | 100 | 120 |
正向电压 | V | 0.8 | 1.2 | 1.2 |
TEC电流 | A | - | - | A |
反向电压(LD) | V | - | - | mA |
反向电压(PD) | V | - | - | V |
订购信息
PL-DFB-□□□□-☆-A8▽-XX
□□□□: Wavelength
1512: 1512nm
*****
1653.7: 1653.7nm
1850: 1850nm
☆ : Output Power
A: 2mW
B: 5mW
▽: Wavelength Tolerance
1: ±1nm
2: ±2nm
XX: Fiber and Connector Type
SA=SMF-28E+ FC/APC
SP=SMF-28E+ FC/PC
PP=PM Fiber+ FC/PC
PA=PM Fiber+ FC/APC
| 名称 | 型号货号 | 描述 | 参数 | 价格 |
|---|
